Утверждены Нормативные значения показателей надежности электроснабжения, а также правил их определения (аннотация к документу от 20.05.2016)

Zakon.kz, фото - Новости Zakon.kz от 14.06.2016 19:08 Zakon.kz

Утверждены Нормативные значения показателей надежности электроснабжения, а также правил их определения

 

Аннотация к документу: Приказ Министра энергетики Республики Казахстан от 20 мая 2016 года № 214 «Об утверждении Нормативных значений показателей надежности электроснабжения, а также правил их определения»

В соответствии с подпунктом 47-1) статьи 5 Закона Республики Казахстан от 9 июля 2004 года «Об электроэнергетике» утверждены

1) Нормативные значения показателей надежности электроснабжения в соответствии с приложением 1 к настоящему приказу;

2) Правила определения нормативных значений показателей надежности электроснабжения в соответствии с приложением 2 к настоящему приказу.

 

Нормативные значения показателей надежности электроснабжения

 

Наименование

Нормативное значение

Единица измерения

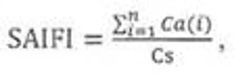
Средний показатель количества отключений на одного потребителя за один календарный год (SAIFI)

4,0

отключений в год

Средний показатель продолжительности отключений на одного потребителя за один календарный год (SAIDI)

4,0

час в год

 

Правила определения нормативных значений показателей надежности электроснабжения разработаны в соответствии с подпунктом 47-1) статьи 5 Закона Республики Казахстан от 9 июля 2004 года «Об электроэнергетике» и определяют порядок определения нормативных значений показателей надежности электроснабжения.

Средний показатель продолжительности отключений на одного потребителя за один календарный год (SAIDI) определяется по формуле:

Утверждены Нормативные значения показателей надежности электроснабжения, а также правил их определения (аннотация к документу от 20.05.2016), фото - Новости Zakon.kz от 14.06.2016 19:08

Средний показатель количества отключений на одного потребителя за один календарный год (SAIFI) определяется по формуле:

Утверждены Нормативные значения показателей надежности электроснабжения, а также правил их определения (аннотация к документу от 20.05.2016), фото - Новости Zakon.kz от 14.06.2016 19:08

При расчетах показателей надежности электроснабжения не учитываются отключения потребителей, произошедшие из-за:

1) технологических нарушений за пределами электрических сетей энергопередающей организации;

2) климатических условий: атмосферные перенапряжения (гроза);

скорость ветра выше расчетной;

толщина гололеда (мокрый снег) выше расчетной;

гололед;

наводнение, ледоход;

землетрясение, сели, оползни, обвалы, осадка, вспучивание грунта.

Энергопередающая организация ежегодно не позднее 20 января, следующего за отчетным, направляет в государственный орган по государственному энергетическому надзору и контролю информацию о показателях надежности электроснабжения.

Приказ вводится в действие по истечении десяти календарных дней после дня его первого официального опубликования.

 

Поделитесь новостью
Поделитесь новостью:
zkadm
Следите за новостями zakon.kz в:
Если вы видите данное сообщение, значит возникли проблемы с работой системы комментариев. Возможно у вас отключен JavaScript
Сообщите об ошибке на странице
Ошибка в тексте: